Are you looking for a fun and engaging way to practice solving systems of equations? Look no further than a system of equations worksheet! These worksheets are a great way to test your skills and improve your math abilities.
System of equations worksheets typically include a series of equations that need to be solved simultaneously. By finding the values of the variables that satisfy all the equations, you can hone your problem-solving skills and enhance your understanding of algebraic concepts.

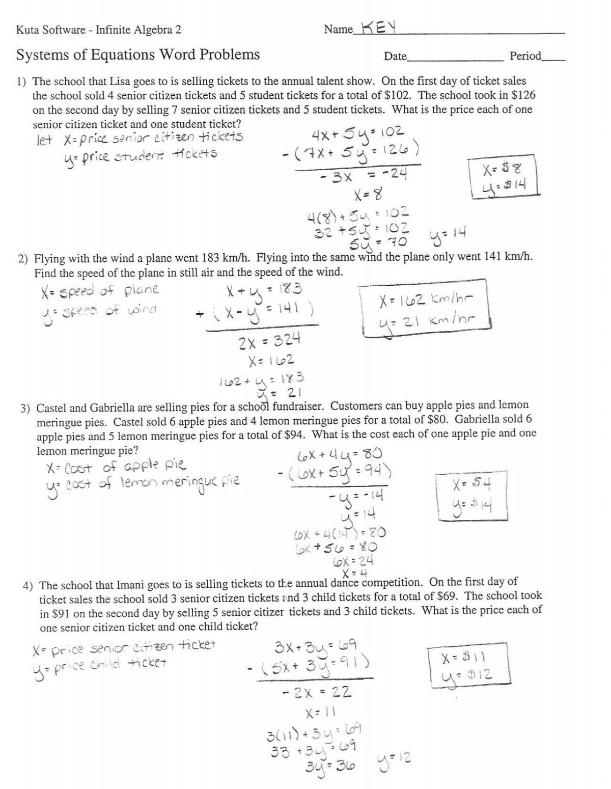
system of equations worksheet
Unlock Your Math Potential with a System of Equations Worksheet
Whether you’re a student brushing up on algebra or a math enthusiast looking for a challenge, system of equations worksheets can provide the perfect opportunity to practice and improve. These worksheets come in various difficulty levels, allowing you to progress at your own pace.
By working through a system of equations worksheet, you can strengthen your ability to analyze and solve complex mathematical problems. With practice, you’ll become more confident in your math skills and better equipped to tackle real-world situations that require algebraic reasoning.
So why wait? Grab a system of equations worksheet today and start sharpening your math skills in a fun and engaging way. Whether you’re solving for x and y or tackling systems of three equations, these worksheets offer a rewarding challenge that will help you become a math whiz in no time!

TenTors Math Teacher Resources Solving Systems Of Linear Equations Worksheet

Systems Of Equations Solving Two Variable Systems Of Equations Graphically Made By Teachers

Edia AI Platform For Student Outcomes

Systems Of Equations Worksheets

Solving Systems Of Linear Equations Worksheet Fun And Engaging Algebra I PDF Worksheets Cazoom Math